AnalysisCOVER STORIES

ဘဏ္ဍာရေး လိုငွေပြမှုနှင့် ကုန်သွယ်ရေး လိုငွေပြမှု (Budget Deficit and Trade Deficit)

By Dr. Aung Ko Ko | March 17, 2018
The Myanmar Quarterly

ယနေ့ မြန်မာနိုင်ငံ စီးပွားရေးတွင် ဘဏ္ဍာရေးလိုငွေပြမှု (Budget Deficit) ပြဿနာနှင့် ကုန်သွယ်ရေးလိုငွေပြမှု (Trade Deficit) ပြဿနာကို အဓိကထား ထောက်ပြကြသည်ကို တွေ့ရပါသည်။

မြန်မာနိုင်ငံကဲ့သို့ သေးငယ်သော တံခါးဖွင့် စီးပွားရေး (Small Open Economy) နိုင်ငံ၊ အသွင်ကူးပြောင်းစနိုင်ငံ (Transitional Economy)၊ စက်မှုကဏ္ဍများ မဖွံ့ဖြိုးသေးသောနိုင်ငံ (Undeveloped Economy) တစ်နိုင်ငံအနေဖြင့် (လက်တွေ့ကျကျ ကြည့်ပါက) ယင်း လိုငွေပြမှုများသည် မလွှဲမရှောင်သာသော အနေအထားအဖြစ် ကာလတစ်ခုကို ဖြတ်သန်းရဦးမည်ဟု ယူဆသည်။

အကြောင်းမှာ အစိုးရယန္တရား အရွယ်အစား (Size of Government) မှာ ယခင်နှင့်စာလျှင် ပို၍ သေးငယ်သွားသော်လည်း အစိုးရ အသုံးစရိတ် (Government Expenditure) မှာမူ ကျန်းမာရေးကဏ္ဍ (Health Sector)၊ ပညာရေးကဏ္ဍ (Education Sector)၊ လူမှုဖူလုံရေးနှင့် သဘာဝဘေးဒုက္ခအန္တရာယ် ကာကွယ်တားဆီးရေးကဏ္ဍ (Social Welfare Sector & Natural Disaster Prevention Sector)၊ အမျိုးသားလုံခြုံရေးကဏ္ဍ (National Security Sector) အစရှိသည် တို့တွင်လည်း ပိုမိုသုံးစွဲရဖွယ် ရှိသော ပကတိအခြေအနေများကို မငြင်းဖွယ်ရာ မြင်တွေ့ရပေလိမ့်မည်။

တစ်ချိန်တည်းတွင် မြန်မာနိုင်ငံ၌ အဓိက စီးပွားရေးကဏ္ဍကြီး ဖြစ်သော လယ်ယာစိုက်ပျိုးမွေးမြူရေးကဏ္ဍ (Agricultural & Fishery Sector) တွင်လည်း လိုအပ်သော သွင်းအားစုများကို မှန်မှန်ကန်ကန် မြန်မြန်ဆန်ဆန် ဖြည့်ဆည်းပေးနိုင်ရေးအတွက်လည်း “ပိုမို” သုံးစွဲရဖွယ် ရှိနေခြင်းမှာလည်း ပကတိအခြေအနေ ဖြစ်နေပေသည်။

အလားတူပင် ဒေသန္တရ ဖွံ့ဖြိုးတိုးတက်မှု (Regional Development)၊ မြို့ပြကျေးလက် ဖွံ့ဖြိုးမှုကွာဟမှု (Urban Rural Gap)၊ အလုပ်အကိုင် ဖန်တီးပေးမှု (Job Creation)၊ ရွှေ့ပြောင်း လုပ်သားများ လျော့နည်း ကျဆင်းစေမှု (Reduction of Internal Labor Migration)၊ အခြခံအဆောက်အဦများ ဖွံ့ဖြိုးတိုးတက်စေမှု (Infrastructure) အစရှိသော လုပ်ငန်းစဉ်များအတွက်လည်း မရှိမဖြစ် သုံးစွဲရမည် ဖြစ်သည်။

ဤသို့ဆိုလျှင် ဘဏ္ဍာရေးရငွေ (Budget Revenue) အပိုင်းတွင် ထိထိရောက်ရောက် ပိုမိုရှာဖွေခြင်း (တစ်နည်းအားဖြင့် စီးပွားရေး တိုးတက်စေမှုကို မနှောင့်နှေးစေသော အခွန်စနစ်ဖြင့် ကောက်ခံခြင်း)နှင့် ဘဏ္ဍာရေးသုံးငွေ (Budget Expenditure) အပိုင်းတွင် ထိထိရောက်ရောက် သုံးစွဲခြင်း (တစ်နည်းအားဖြင့် ဘဏ္ဍာရေး သုံးစွဲမှုပိုင်းသည် အလဟသ အဟောသိကံ မဖြစ်စေဘဲ နိုင်ငံ၏ စီးပွားရေးကို ပိုမို မြင့်တက် တိုးတက်စေခြင်း၊ နိုင်ငံသားတို့၏ လူနေမှုဘဝကို မြင့်မား တိုးတက်စေခြင်း၊ အလုပ်အကိုင် အခွင့်အလမ်းများ ဆင့်ကဲဆင့်ကဲ တိုးပွားစေခြင်း၊ ဒေသများအကြား ကူးလူးဆက်ဆံမှု ပိုမိုကောင်းမွန်စေခြင်း) ဟူသော အကျိုးကျေးဇူးများ ရရှိစေနိုင်ရပါမည်။

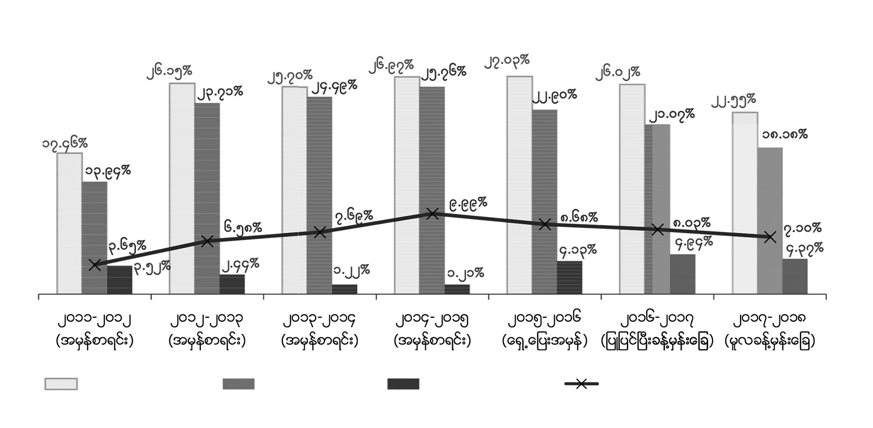
၂၀၁၁-၂၀၁၂ ခုနှစ် ဘဏ္ဍာရေးနှစ်မှ ၂၀၁၇-၂၀၁၈ ခုနှစ် ဘဏ္ဍာရေးနှစ်အထိ ပြည်ထောင်စု၏ ရငွေ၊ သုံးငွေ၊ လိုငွေ၊ အခွန်များနှင့် ဂျီဒီပီအချိုး

(အဆိုပါ ကိန်းဂဏန်း အခြေပြုဇယားကို ၂၀၁၇-၂၀၁၈ ခုနှစ် ဘဏ္ဍာရေးနှစ် ရသုံးခန့်မှန်းခြေ ငွေစာရင်းဆိုင်ရာ အချက်အလက်များ စာအုပ်မှ ရယူဖော်ပြသည်)

တစ်ဖန် အလုပ်အကိုင်များ ဖန်တီးပေးခြင်း (Job Creation) သည် တစ်နည်းအားဖြင့် ဝင်ငွေ ဖန်တီးပေးခြင်း (Income-generation Creation) ပင်ဖြစ်သည်။ (Job Creation is Income-Creation) ။ ထို့ကြောင့် အလုပ်အကိုင် အခွင့်အလမ်းများစွာ ဖန်တီးမပေးနိုင်သော ပြည်တွင်းနှင့် ပြည်ပ ရင်းနှီးမြှုပ်နှံမှုများ၊ ပြည်ပပို့ကုန်များ တင်ပို့မည့် ပြည်တွင်းနှင့်ပြည်ပ ရင်းနှီးမြှုပ်နှံမှုများ၊ လယ်ယာ သားငါးကဏ္ဍမှ ထုတ်လုပ်သည့် ထုတ်ကုန်များကို ကုန်ချောများအဖြစ် ထုတ်လုပ်ပေးမည့် ရင်းနှီးမြှုပ်နှံမှုများ၊ အခြခံအဆောက်အဦ (Infrastructure) များတွင် ရင်းနှီးမြှုပ်နှံမှုများ၊ အများပိုင်စီးပွားရေး လုပ်ငန်းများ (Public Companies) တို့တွင် အခွန်လျှော့ပေါ့ပေးသင့်ပြီး သယံဇာတ တွင်းထွက်များကို ထုတ်လုပ် တင်ပို့ရောင်းချမည့် စီးပွားရေး လုပ်ငန်းများတွင် ရင်းနှီးမြှုပ်နှံမှုများ၊ သဘာ၀ ပတ်ဝန်းကျင်ကို ထိခိုက် ပျက်စီးစေကာ ရာသီဥတု ပြောင်းလဲမှုများကို ပိုမို ဆိုးရွားစေနိုင်မည့် ရင်းနှီးမြှုပ်နှံမှုများ၊ နိုင်ငံသားတို့၏ ကျန်းမာရေးနှင့် ယဉ်ကျေးမှုကို ထိခိုက်စေနိုင်သော ရင်းနှီးမြှုပ်နှံမှုများ အပေါ်တွင်မူ တိုးမြှင့်ကောက်ခံနိုင်ရန် လိုအပ်ပေလိမ့်မည်။

ထိုကဲ့သို့သော ပကတိ လက်ရှိ အခြေအနေများပေါ်တွင် အခြေခံကာ စဉ်းစားကြည့်လျှင် ဘဏ္ဍာရေးလိုငွေ (Budget Deficit) သည် ဆက်လက် ရှိနေနိုင်သော်လည်း နိုင်ငံ၏ မက်ခရိုစီးပွားရေး (Macroeconomy) နှင့် မိုက်ခရိုစီးပွားရေး (Microeconomy) တို့၏ တည်ငြိမ်မှုနှင့် ဖွံ့ဖြိုးတိုးတက်နေမှုကို မထိခိုက်စေနိုင်သော ဘဏ္ဍာရေး လိုငွေပမာဏဖြစ်ရန်အတွက် အောက်ပါအချက်တို့ကိုလည်း သတိပြုသင့်သည်။

(က)    ဘဏ္ဍာရေး လိုငွေပြမှုကို ငွေကြေးရိုက်ထုတ် ဖြေရှင်းခြင်းသည် ငွေဖောင်းပွမှုပြဿနာကို ပိုမို ရှုပ်ထွေးစေနိုင်သည်။

(ခ) ဘဏ္ဍာရေး လိုငွေပမာဏ အဆမတန် ကြီးမြင့်လာမှုသည် အနာဂတ်ကာလတွင် အခွန်ဝန်ထုပ်ဝန်ပိုး ဖြစ်လာစေနိုင်သည် (High budget deficits may signal a high tax burden in the future) ။

(ဂ) ဘဏ္ဍာရေး လိုငွေပြမှုပမာဏ ကြီးမားလာခြင်းသည် အမှန်အတိုးနှုန်းများကို ကြီးမြင့်လာစေနိုင်ပြီး ယင်းမှတစ်ဆင့် ရင်းနှီးမြှုပ်နှံမှုများနှင့် စီးပွားရေး တိုးတက်မှုကို လျော့နည်း ကျဆင်းစေနိုင်သည် (High budget deficits may lead to higher real interest rates in financial markets, which may reduce investment and growth)။

(ဃ) ဘဏ္ဍာရေး မူဝါဒများသည် ထိထိရောက်ရောက် ရှိရန် လိုအပ်ပြီး ဤ ဘဏ္ဍာရေး မူဝါဒများသည် အများပြည်သူတို့၏ ရင်းနှီးမြှုပ်နှံမှုများကို စီးဝင်စေနိုင်သကဲ့သို့ စီးထွက် သွားစေနိုင်သောကြောင့် ဘဏ္ဍာရေး မူဝါဒများသည် နိုင်ငံ့စီးပွားရေး ဖွံ့ဖြိုးတိုးတက်စေမှုတွင် အရေးကြီးသော တိုင်းတာမှုတွင် အဓိက ကျပေသည် (Fiscal Policy should be effective since it can cause crowd-in or crowd-out the private investment, which is a major barometer of economic productivity)။

(င) ဘဏ္ဍာရေး လိုငွေပြမှု (Budget Deficit) ကို နိုင်ငံ၏ ထုတ်လုပ်နိုင်မှု စွမ်းဆောင်ရည် မြင့်မားတိုးတက်နိုင်မှု အခြေအနေနှင့် နိုင်ငံ၏ နိုင်ငံခြား အရန်ငွေပမာဏတို့အပေါ်တွင် နှိုင်းယှဉ် တွက်ချက်၍ ထိထိရောက်ရောက် ဖြစ်သင့်သည် (Budget Deficit should be determined over the efficiency and productive-potential of the whole economy)။

(စ) ဘဏ္ဍာရေး လိုငွေပြမှု ပြဿနာကို ဖြေရှင်းရန်အတွက် အခွန်အကောက် ပိုမိုကောက်ခံခြင်း ဟူသော နည်းလမ်းတစ်ခုတည်းကိုသာ စွဲစွဲမြဲမြဲ စဉ်းစားခြင်းထက် စီးပွားရေး လုပ်ငန်းများ ပိုမို ယှဉ်ပြိုင်နိုင်စေခြင်း (တစ်နည်းအားဖြင့် ဈေးကွက် လက်ဝါးကြီးအုပ်မှုများ လျော့နည်းစေခြင်း)နှင့် Private-Public Partnership (PPP) စီးပွားရေး လုပ်ငန်းများ လျင်မြန်စွာ တိုးတက်စေခြင်းတို့ကိုလည်း လိုအပ်ပေလိမ့်မည်။

ထို့ကြောင့် ဘဏ္ဍာရေး လိုငွေပြမှု (Budget Deficit) သည် ကာလတစ်ခု ဆက်လက် တည်ရှိနေမည် ဖြစ်သော်လည်း ယင်းကာလအတွင်းတွင် ကျွဲကူးရေပါ သဘောဆောင်သည့် ဘဏ္ဍာရေး ရသုံးမူဝါဒများကို အချိန်နှင့် တစ်ပြေးညီ နိုင်ငံ့စီးပွားရေးကို စောင့်ကြည့်နေရန်ပင် ဖြစ်သည်။

တစ်ချိန်တည်းတွင် မည်သည့် ကုန်စည်မှ မည်မည်ရရ ကမ္ဘာ့ဈေးကွက်တွင် ထုတ်လုပ်နိုင်စွမ်း မရှိသေးသော (တစ်နည်းအားဖြင့် ကမ္ဘာ့ဈေးကွက်တွင် ယှဉ်ပြိုင် ထိုးဖောက်နိုင်စွမ်း အားနည်းနေသေးသော) နိုင်ငံအနေဖြင့် ကုန်သွယ်ရေး လိုငွေ (ွှTrade Deficit) သည်လည်း လက်ရှိ ပကတိ အနေအထားအရ လေ့လာကြည့်ပါက ဆက်လက် ရှိနေဦးမည်ကို တွေ့ရသည်။

သို့သော် တစ်နှစ်ထက် တစ်နှစ် နိုင်ငံ၏ Degree of Openess (Export + Import)/GDP သည် တိုးမြင့်လာနေသည်ကို တွေ့ရသည်။ ယင်းမှာ နိုင်ငံသားတို့၏ ဝင်ငွေ အဆင့်အတန်း (Income level) နှင့် စားသုံးမှု ပုံသဏ္ဍာန် (Consumption Pattern) ပြောင်းလဲ တိုးတက်လာနေသည် ဟူသော အဓိပ္ပာယ်ပင် ဖြစ်သည်။

သို့သော် ကုန်သွယ်မှု လိုငွေပမာဏ (Trade Deficit) ကြီးထွားလာခြင်းတွင်လည်း စက်ပစ္စည်း ယန္တရားများ၊ ဆောက်လုပ်ရေး လုပ်ငန်းသုံး ပစ္စည်းများ၊ ဆေးဝါးပစ္စည်းများ၊ လောင်စာ နှင့် စွမ်းအင်ကဏ္ဍသုံး ပစ္စည်းများ၊ စိုက်ပျိုးရေးလုပ်ငန်းသုံး ပစ္စည်းများ စသော မရှိမဖြစ်သော သွင်းကုန်များ တင်သွင်းရခြင်းထက် ဇိမ်ခံပစ္စည်းများ (Luxury Goods) ပိုမို တင်သွင်းလာသဖြင့် ဖြစ်ပေါ်လာသော ကုန်သွယ်ရေး လိုငွေပမာဏနှင့် နယ်စပ် တရားမဝင် သွင်းကုန်များ၊ တရားမဝင် ငွေကြေး စီးဝင်စီးထွက်မှုများ (Illegal Capital Inflows & Outflows) စသည်တို့ကိုလည်း ထိန်းချုပ်နိုင်ရန် လိုအပ်ပေလိမ့်မည်။

တစ်ချိန်တည်းတွင် လျှပ်စစ်ဓာတ်အား ပိုမို ထုတ်လုပ်ခြင်းနှင့် ပြည်ပနိုင်ငံများမှ ဝယ်ယူ တင်သွင်းခြင်း (Promotion of Electricity Power & Importing the Eletricity from Abroad) ဖြင့် ပြည်တွင်း စီးပွားရေး လုပ်ငန်းများနှင့် စက်မှုလုပ်ငန်းများ စွမ်းအားပြည့် လည်ပတ်နိုင်စေခြင်း၊ ကုန်းတွင်းပိုင်း အထူးစီးပွားရေးဇုန်များ (Inland Special Economic Zones) နှင့် ပင်လယ် ကမ်းရိုးတန်း အထူးစီးပွားရေးဇုန်များ (Off-shore Special Economic Zones) များ တည်ဆောက်ပြီး ကုန်းတွင်းပိုင်း အထူးစီးပွားရေးဇုန်များတွင် လယ်ယာကဏ္ဍ ထွက်ကုန်များကို ကုန်ချောများ၊ စားသောက်ကုန်များ စသည်ကို အဓိက ဦးစားပေး ထုတ်လုပ်ပြီး ကမ်းရိုးတန်း အထူးစီးပွားရေးဇုန်များတွင်မူ နိုင်ငံခြား တိုင်းပြည်များသို့ တင်ပို့ရောင်းချမည့် စီးပွားရေးလုပ်ငန်းများကို အဓိက ဦးစားပေး ထုတ်လုပ်စေခြင်းဖြင့် ပြည်တွင်းပြည်ပ ဈေးကွက်များသို့ ပိုမိုထိုးဖောက် လာနိုင်လိမ့်မည်ဟုလည်း ယူဆသည်။

အရင်းအနှီး ရှားပါးသော၊ ထုတ်လုပ်မှု နည်းပညာ နိမ့်ကျဆဲဖြစ်သော နိုင်ငံအနေဖြင့် မိမိတို့တွင် လက်ဝယ်ရှိသော အရင်းအနှီးနှင့် ကျွမ်းကျင်မှု၊ ထုတ်လုပ်မှု နည်းပညာတို့ကို ထိထိ ရောက်ရောက် ပေါင်းစပ် အသုံးပြုနိုင်ရန် လိုအပ်ပေသည်။

အချုပ်အားဖြင့် ဘဏ္ဍာရေး လိုငွေပြမှု (Budget Deficit)၊ ကုန်သွယ်ရေး လိုငွေပြမှု (Trade Deficit) သည် ကာလတစ်ခု မလွှဲမရှောင်သာ ဆက်လက် တည်ရှိနေပေလိမ့်မည်ဟု ထင်သည်။

Budget Deficit and Trade Deficit

By Dr Aung Ko Ko

For present Myanmar, “Deficits” are inevitable/inavailable due to weak infrastructure, low productivity, small global-market integration, and as a transitional economy. However, these “Deficits” should be effectivelt allocated one of the economic sectors, without scrificing economic stability. Furthermore, should be noted that high budget deficit may signal a high tax burden in the future and also may lead to higher real interest rates in fianacial markets, which may reduce investments and growth. So, budget deficit and trade deficit should be reduced, balancing the productivity and foreign exchange revenues.



Leave a Reply

Your email address will not be published. Required fields are marked *